在现代岩土工程中,单纯的静力分析已无法满足需求。随着极端环境(如冻土区、高寒地区)和复杂工程(如能源开发、地质灾害治理)的发展,水分在受力状态下的动态行为成为了关键制约因素。
在寒冷地区,水分结冰膨胀是导致路基冻胀和冻融破坏的主要原因,研究动载或静载作用下水分如何向冻结前沿迁移,对于预测冰楔生长至关重要。重载铁路、高速公路上,列车荷载会改变土体内部的应力状态,进而影响水分的渗透路径,研究表明,动应力会加速水分向上迁移,导致翻浆冒泥等病害。在页岩气开采或地下核废料处置中,注入流体的压力变化会引发复杂的渗流-应力耦合,了解水分及流体在高压下的迁移规律,直接关系到井壁稳定性与污染物扩散风险。
传统土三轴视角专注于应力-应变曲线、峰值强度等宏观参数,无法直接观测水分是如何在剪切作用下集中,又是如何随压力梯度流动的。将土三轴与低场核磁水分监测技术结合,解决了传统方法中“只能测宏观结果,无法解释内部过程”的痛点,是力学手段与物理场探测技术的深度融合的前沿科研体现。它不仅告诉我们“土体能承受多大的力”,更揭示了“在受力的过程中,水是怎么跑的、孔隙是怎么发育的”。这对于解决冻土路基失稳、铁路翻浆冒泥以及非常规油气开采中的井壁垮塌问题,具有不可替代的理论支撑作用。
样品来源:选用了两种典型的软土—淤泥质黏土和砂质粉土。
样品规格:圆柱体尺寸:直径39.1 mm × 高度 80 mm 。


图一软土制成的测试样品

图二 核磁设备MacroMR12-150V-I
装样:首先,利用渗流系统排除管路中的空气,确保无气泡干扰。随后,在探头线圈基座上依次放置无核磁信号的透水石、滤纸、土样、透水石和加载帽,并用乳胶膜密封。
管路连接:将三轴夹持器外壳安装好,并分别连接轴向压力、围压、渗流及循环流体的进出口管路。
参数设置与测试:
1)初始状态稳定:在冻结前,先对试样进行渗流,直至其内部渗流通道达到稳定状态,并采集此状态下的初始核磁共振信号。
2)冻结-渗流耦合测试:设置围压为70 kPa,轴压为100 kPa,模拟实际地层应力。开启低温循环,将冻结温度设定为-30°C(梯度降温),并施加0.5 ml/min的渗流边界条件。在此过程中,系统持续采集T₂谱和MRI图像,以监测水分迁移和渗流通道的演化。
3)压力融化测试:待试样在-30°C下冻结稳定后,保持温度不变,分级增加围压和轴压(例如,轴压/围压分别设置为100 kPa/200 kPa、300 kPa/500 kPa、600 kPa/1000 kPa),并采集相应压力下的T₂谱数据,以分析压力融化过程中冰-水相变及孔隙结构的变化。

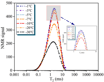
图三 冻渗耦合下黏土弛豫谱

图四 冻渗耦合下砂质粉土弛豫谱
上图展示了两种人工冻结软土(黏土、沙质粉土)在低温冻结状态下的核磁共振(NMR)T₂谱。其孔隙结构变化机制如下:
1)大孔隙消失:自由水主要存储于大孔隙中,当温度降至冻结点(如黏土约-1℃ ),大孔隙内的水迅速冻结,导致其信号消失。
2)微孔主导:剩余主峰代表微孔中的结合水,其比例随温度降低而增加。以黏土为例,在-1℃至-30℃的冻结过程中,微孔数量较室温增加5.9%~6.0%。
3)渗流-冻结耦合效应:渗流冲刷破坏大孔隙结构,使其分裂为微孔;同时冻结作用进一步促使大颗粒冻胀破裂,加剧微孔数量增长(砂质粉土在-30℃时大孔减少91.1%)

图五:冰冻和渗流耦合下黏土成像

图六:冰冻和渗流耦合下沙质粉土成像
上图展示了人工冻结软土(黏土与砂质粉土)通过低温三轴渗流MRI系统,在渗流边界条件下模拟实际工程环境,并施加温度梯度(从室温降至-30 ℃ )耦合作用下的孔隙结构动态演变。有以下分析结论:
1)孔隙结构变化特征:
黏土:渗流作用初期(未冻结时),大孔隙比例增加(微孔比例下降),形成非均匀渗流通道;冻结后(如-1℃至-30℃),大孔隙信号完全消失,微孔比例显著上升(增加5.9%~6.0%),最终微孔占比达100%(图五)。
砂质粉土:渗流作用形成均匀渗流通道,但冻结后大孔隙减少91.1%,微孔比例同步增加(-30℃时几乎完全冻结)(图六)。
2)机制解析:
渗流主导阶段:水流冲刷导致黏土大孔隙扩张(颗粒迁移),砂质粉土因高渗透性形成均匀通道。
冻结主导阶段:低温使大孔隙中的自由水冻结,NMR信号消失(对应T₂谱峰衰减);未冻结水向微孔迁移,结合冻胀破裂效应(冰晶挤压使大颗粒分裂),进一步增加微孔数量。

推荐:大口径核磁共振成像分析仪(MacroMR12-150V-I)
[1] Zhou J, Zhou H, Ban C, et al. Evolution characterization of moisture migration and pressure-melting of artificially frozen soft soil based on low-temperature triaxial seepage MRI system[J]. Cold Regions Science and Technology, 2025, 237
电话:400-060-3233
售后:400-060-3233
返回顶部